Lá thư của Chúa Nguyễn Phúc Ánh gửi Pháp Hoàng Louis XIV
Cảnh Hưng năm thứ 50, ngày 22 tháng Mười [AL]
(31 Janvier, 1790)
Người viết chân thành cám ơn anh Võ Phi Hùng đã hi sinh thời giờ
tiền bạc để sưu tầm và công bố rất nhiều tài liệu quí giá nay không
còn mấy ai biết đến. Chúng tôi cũng thành thật cám ơn GS Huỳnh
Chiếu Đẳng đã đưa lên Quán Ven Đường để những người quan tâm
có thể tham khảo được.
Nguyễn Duy Chính


Hai tấm hình này trích từ tuần báo Indochine số 93 xuất bản ngày Thứ Năm 11 tháng Juin, 1942



Nguồn: Bán nguyệt san La Dépêche coloniale illustrée (15-Février, 1909 #3), tr. 5
Trong số báo Indochine số 93 xuất bản ngày Thứ Năm 11 tháng Juin, 1942 để kỷ niệm huý nhật của vua Gia Long (15 Juin, 1942) có đăng tải một bức thư của chúa Nguyễn Phúc Ánh gửi cho Pháp hoàng Louis XVI đề ngày 31 Janvier 1790 (hình trên). Đây là bản dịch một bức thư chúa Nguyễn viết cho vua Pháp Louis XVI để cảm ơn ông (dù không thi hành) về một hiệp ước tương trợ do giám mục Bá Đa Lộc thay mặt vua nước An Nam ký với nước Đại Tây (tức nước Pháp). Bức thư chữ Hán của chúa Nguyễn được giám mục xứ Adran dịch sang tiếng Pháp để kèm theo bản chính và Bá Đa Lộc có phụ chú bảo đảm rằng bản dịch trung thực với ý nghĩa của nguyên tác (cước chú 3).
Lá thư này cũng tìm thấy trong La Geste Française en Indochine (Tome I) do Georges Taboulet sưu tập và do nhà xuất bản Adrien – Maisonneuve Paris ấn hành năm 1955, Chương III, Văn bản 72 nhan đề Nguyen Anh remercie Louis XVI (31 janvier 1790). So sánh hai văn bản trong Indochine và trong La Geste Française en Indochine thì hoàn toàn giống nhau, ngoại trừ một số chữ trong bản Taboulet thì viết hoa, thay vì chữ thường.
Tìm kiếm xa hơn một chút, trong Histoire de la Mission de Cochinchine 1658-1823 do Adrien Launay thuộc Hội Truyền Giáo Hải Ngoại (Société des Missions – Etrangères) Documents Historiques tập III (1771-1823), do Anciennes Maisons Charles Douniol et Retaux, Paris ấn hành năm 1925 trang 205-206 có in lại một bức thư đề ngày 31 janvier 1790 cũng của chúa Nguyễn gửi cho Pháp hoàng Louis XVI, kèm theo một bản chụp chữ Hán ở trang 204 mà chúng tôi có đính kèm trong bài viết này. Bản chúng tôi có là rút từ sách ảnh ấn năm 2000 của Les Indes Savantes (Paris), hình nhỏ, chữ nhoè không rõ nét nêu không thể khôi phục nguyên bản mà chỉ vừa nhìn, vừa đoán theo văn cảnh nên ngay cả những chữ đọc được cũng không dám chắc là đúng.

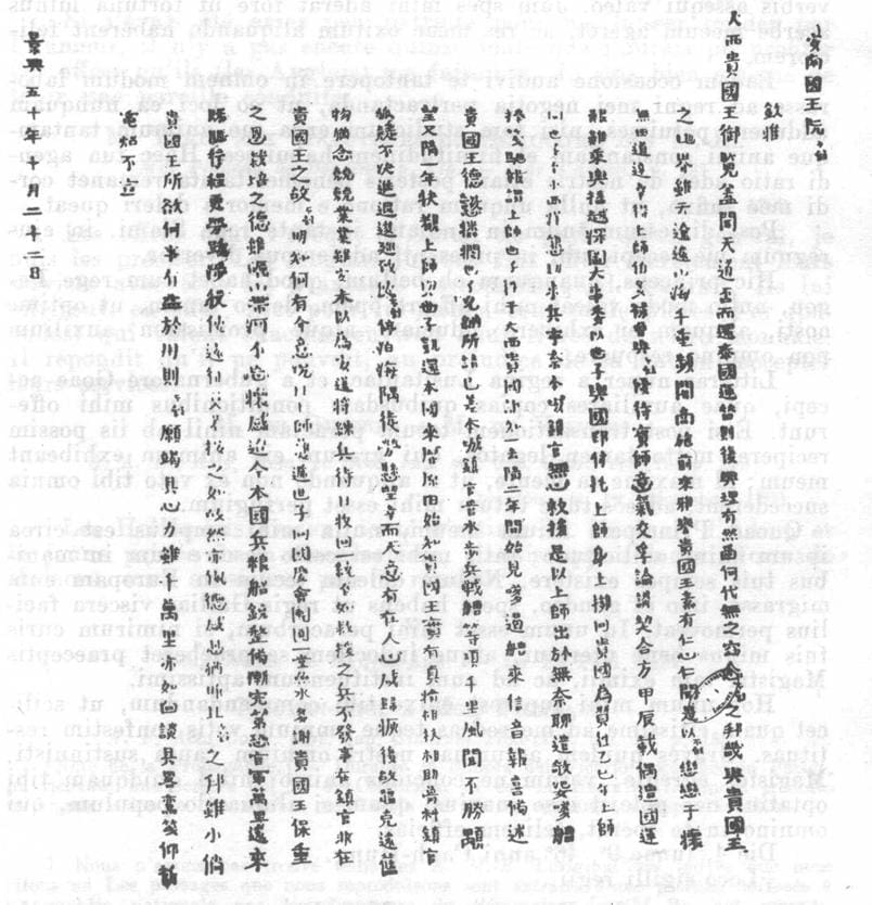
安南國王阮福映
欽惟
大西貴國王御覽
盖聞
天道否而還泰,國運替則復興,理有然①何代無之。
窃念福映之邦畿與貴國王之地界,雖天逾遠山海千重。
頻聞商旅前來雅譽貴國王素有仁心仁聞幾以福映戀戀于懷,無通②道達。⑰
③上師伯多祿曾與福映優待賓師意氣交孚論談契合。
方甲辰載偶遇國運艱難。乘輿播越。深圖大事,委以世子與國印倚托上師身上攜回貴國爲質牲。
己巳年上師回也。福映①②③小西洋懇助求兵寧奈⑤⑥强言無心救⑨援,是以上師出於無奈聊遣攲婆嗲艚捧箋馳報謂上師世子⑪于大西。
貴國然知一去隔二年間始見嗲遏艚來信音報喜揭述貴國王德懿⑫⑬⑭也。兒所已差本城鎮官管水步兵戰艚等項千里風聞不勝顒望。
又隔一年快覩上師與世子凯還,本國來歷原由始知貴國王實有真拾相扶相助⑰料鎮官狐疑不决進退⑱廵⑲福映停泊海隅徒勞懸望。
幸而天意,有在人心咸歸恢復故疆,克還舊物猶念兢兢業業,雖安未以為安還將練兵待日收回一統。至如救援之兵不發事在鎮官非在貴國王之故。
福映明知何有令意③。日上師④遞世子回國慶會團圓一堂燕水,多謝貴國王保重之恩,栽培之德雖旣被山帶河不念懷感。
迨今本國兵粮船鎗整備漸完第恐官軍萬里遠來⑤⑥行⑦更勞⑧涉綬使遠征⑨⑩⑪之。
如故然前亦佩德感恩猶⑫且福映之邦雖小倘貴國王所欲何事,有益於用則福映願竭其心力雖千萬里亦如。
向談具畧。鸞箋仰⑬毫⑭不宣。
景興五十年十月二十二日。
Bản dịch
Vì nguyên bản trong sách của Launay nhỏ và rất mờ nên chúng tôi nhiều chữ không đọc được, đành để trống [đánh dấu tròn ⓪] để khi nào có một bản rõ ràng hơn sẽ bổ túc. Người dịch thành thật cáo lỗi về khiếm khuyết này.
An Nam Quốc Vương Nguyễn Phúc Ánh
Kính gửi
Quốc vương nước Đại Tây xem đến
Tôi từng nghe
Đạo trời bĩ rồi lại thái, vận nước suy rồi lại hưng, ấy cái lý là như thế.
Trộm nghĩ nước tôi đất cách xa địa giới của quí quốc vương, tuy trời đã xa mà núi biển thì cách nghìn trùng.
Tôi từng nhiều lần nghe khách thương đến đây khen ngợi quí quốc vương, lòng dạ rất là nhân ái, nhân từ khiến cho tôi luôn luôn bồi hồi trong dạ mà không sao đạo đạt lên cho ngài biết được.
Thượng sư Bá Đa Lộc với tôi là người ưu đãi như bậc tân khách, giao thiệp tín nhiệm, đàm luận hợp nhau.
Vừa năm Giáp Thìn (1784), gặp khi quốc vận gian nan, cùng nhau bôn ba mưu đồ đại sự. Thế nên đã gửi thế tử và quốc ấn giao cho thượng sư mang theo bên người đem về quí quốc để làm con tin.
Vào năm Ất Tị (1785), thượng sư trở về nước cũ nên dắt theo con tôi vượt biển thiết tha cầu binh. Không ngờ [trấn quan …] cưỡng ngôn không có ý giúp đỡ nên thượng sư đã phải gửi thư về báo là đã phải nhờ tàu Kỳ Bà Gia (Le Castries) mang thế tử đi sang Đại Tây rồi.
Quí quốc cũng biết một lần ra đi cách bức hai năm mới thấy tàu Gia Yết (La Dryade) gửi thư báo tin vui là đã được yết kiến quí quốc vương Đức Ý (Louis) … và đã sai quan trấn thủ bản thành đem thuỷ bộ binh và chiến thuyền các món từ ngàn dặm sang khiến chúng tôi hết lòng trông ngóng.
Lại thêm một năm nữa mới vui thấy thượng sư và thế tử thắng lợi trở về, nói rằng lúc đầu quí quốc vương quả có chân thành giúp đỡ việc của nước tôi nhưng không ngờ trấn quan hồ nghi bất quyết dùng dằng …
May mà nhờ vào ý trời, cũng ở lòng người nên tôi đã khôi phục được đất cũ nhưng vẫn canh cánh mong sao việc sớm thành, tuy chưa xong nhưng vẫn luyện binh chờ ngày thu hồi toàn cõi.
Còn như cứu binh không đưa tới cũng là vì tại nơi trấn quan, không phải trục trặc từ phía quốc vương.
Tôi biết rõ quốc vương không có ý đó nên đã dặn thượng sư đưa thế tử về nước để cho vui mừng đoàn viên, một nhà xum họp, đa tạ cái ơn bảo trọng của quí quốc vương, tôi vẫn nhớ đến dù khó khăn thế nào chăng nữa.
Hiện nay nước tôi quân đội, lương thực, thuyền bè súng đạn đều đã tạm đủ, sợ rằng quan quân từ vạn dặm đến đây …Vì chưng trước đây đã chịu ân đức thì dù nước của tôi có nhỏ nhưng nếu quí quốc có việc gì mà hữu ích có thể dùng được thì tôi xin nguyện đem hết tâm lực dẫu xa nghìn vạn dặm cũng không nề.
Nay gửi thư này nói không hết lời.
Cảnh Hưng năm thứ 50, ngày 22 tháng Mười [AL]
Nguyên uỷ
Cuối năm 1784, trong khi đang bôn đào ở vùng biển vịnh Xiêm La, chúa Nguyễn Phúc Ánh đã đem quốc ấn và người con trai đầu mới bốn tuổi gửi cho giám mục xứ Adran (tên Hán Việt dịch là Bá Đa Lộc) để đi thuyền sang khu vực Ấn Độ thuộc Pháp tìm kiếm sự trợ giúp quân sự ngõ hầu khôi phục lại Nam Hà nay đang trong tay của Tây Sơn. Đến Pondichéry tháng 2-1785, giám mục Bá Đa Lộc đã thương thuyết với viên tổng trấn tại đó nhưng không thành công. Ông phải tiếp tục sang thẳng Âu châu để trực tiếp nói chuyện với Pháp hoàng và kết quả là vua Louis XVI đã bằng lòng ký kết một hiệp ước cung cấp cho chúa Nguyễn 4 tàu chiến và 1400 quân, giao cho bá tước De Conway, người chỉ huy cao cấp nhất của các thuộc địa Pháp tại Ấn Độ thi hành.
Tuy nhiên, De Conway cho rằng hiệp ước này không có lợi nên đã từ khước. Bá Đa Lộc vì thế phải tự mình tìm mua tàu cũ và mộ một số người tự nguyện sang giúp chúa Nguyễn. Khi giám mục xứ Adran về đến Gia Định, thì lúc đó chúa Nguyễn đã chiếm lại được đất Nam Kỳ nhưng trong tình trạng rất bấp bênh vì ông sức yếu và Tây Sơn có thể vào đánh bất cứ lúc nào. Nếu thua ông sẽ lại mất hết và cũng không biết chạy đi đâu vì sau khi đào thoát khỏi Bangkok, giao tình của Nguyễn Phúc Ánh và Xiêm La không còn được như trước nữa.
Vì người Pháp không thi hành hiệp ước Versailles 1787 (mà Bá Đa Lộc đã ký với De Montmorin) nên chúa Nguyễn cũng không bị ràng buộc. Ông đã viết thư cám ơn Pháp hoàng Louis XVI và tế nhị tuyên bố vẫn giữ nguyên hảo cảm với nước Pháp, nay coi như một đồng minh tương trợ và ông cũng sẵn lòng gửi người hay thuyền bè sang giúp một khi có yêu cầu. Đây chính là mấu chốt của là thư bằng chữ Hán chúng tôi dịch ở đây để phủ chính những văn bản khác được dịch ra tiếng Pháp không hoàn toàn trung thực mà nhiều sử gia sử dụng. Mặc dù một số chữ không đọc được, chúng tôi tin rằng bản dịch ra tiếng Việt vẫn nêu ra được những nét chính của lá thư nửa báo tin, nửa xác định về kết quả mà chúa Nguyễn muốn làm cho rõ.
Theo lá thư này, chúa Nguyễn tường thuật diễn tiến xảy ra, nguyên thuỷ nhờ giám mục Adran đưa con mình và quốc ấn làm tin để sang một vùng thuộc địa của Pháp tại Ấn Độ cầu viện. Trước đây, khi còn ở Bangkok, một số nước Tây phương đã muốn đầu tư vào thân thế của ông nên đã đề nghị giúp đỡ quân sự để ông lấy lại nước nhưng vì triều đình Xiêm La nghi kỵ nên việc này không thể tiến hành. Những liên minh hàng ngang giúp đỡ lẫn nhau và một khi thành công sẽ được hưởng một số quyền lợi về giao dịch thương mại là một việc rất bình thường vào thời kỳ đó. Trong bối cảnh khu vực và tình hình, việc chúa Nguyễn giao quốc ấn và thế tử để cầu viện là lúc ông đang thế cùng lực kiệt mà quân Tây Sơn thì đang lúc cường thịnh nên cũng không có gì đáng chê trách. Ông cũng đã hội nghị toàn thể hoàng gia (lưu vong) để được sự đồng thuận trong triều đình. [1]
Mấy năm sau, tình hình có khác hơn. Chúa Nguyễn chạy qua Xiêm La rồi trở về Gia Định và giám mục Adran thì cầu viện ở Goa không xong nên phải đi thẳng sang Pháp nói chuyện với Pháp hoàng Louis XVI. Tuy được Pháp hoàng đồng ý nhưng các viên chức trấn thủ ở thuộc địa lại không tuân hành nên mọi tính toán không thành tựu.
Dù sao chăng nữa, chúa Nguyễn vẫn coi nước Pháp như một đồng minh, theo cách liên kết mà nhiều lãnh chúa tiến hành, giao thiệp hàng ngang với các quốc gia khác để khi cần sẽ tương trợ lẫn nhau. Đó chính là hình thức mà các sử gia gọi là liên minh Mandala, tuy vẫn có trên dưới, trước sau nhưng không hoàn toàn tuỳ thuộc. Liên minh đó đã xuất hiện khi chúa Nguyễn nhờ quân Xiêm sang đánh với Tây Sơn và chính Xiêm vương cũng lại nhờ ông giúp đỡ về lương thực, thuyền bè khi cần đến. Trong tình hình đó, việc giao kết với người Pháp cũng không khác gì, dù giúp đỡ nhau như không mất quyền tự chủ nói theo ngày nay là một liên minh quân sự.
Những thoả thuận của giám mục Adran với Pháp trong bản hiệp ước Versailles ngày 28 Novembre, 1787 không được người Pháp thi hành nên không có hiệu lực. Việc giao cho người Pháp một số nhượng địa hay tô giới cũng không được nhắc lại trong lá thư viết bằng chữ Hán ở trên. Ở đây ta thấy chúa Nguyễn chỉ hứa hẹn sẽ đem quân giúp đỡ nước Pháp nếu như họ yêu cầu, dù phải gửi quân đi xa. Nước Pháp ở đây không phải chính quốc ở Âu châu mà là một số thuộc địa ở Ấn Độ là nơi mà giám mục Bá Đa Lộc lúc đầu muốn sang mượn quân nhưng vì không được viên tổng trấn ở đó chấp thuận nên ông đã phải sang gặp Pháp hoàng. Bản văn này vì bằng chữ Hán nên ít thấy xuất hiện trong những biên khảo về giao thiệp giữa chúa Nguyễn Phúc Ánh và người Pháp mặc dù bản dịch được khai thác khá nhiều. Lời văn trong lá thư tuy nhũn nhặn nhưng vẫn tỏ ra một phong cách cao quí của bậc quân vương.
Nguyễn Duy Chính
[1] Theo quyết định của hội đồng hoàng tộc khi giao cho Bá Đa Lộc cầm theo, hội đồng đã đồng ý nhường quyền khai thác đảo Poulo-Condor (Côn Lôn) và cảng Tourane nếu như người Pháp đồng ý gửi quân và chiến thuyền sang giúp. Tuy nhiên vì người Pháp không chấp hành nên chúa Nguyễn cũng không phải thi hành hiệp ước Versailles.